Baskets | Registration | Log in | Contact us

Hit2Lead

From Hit to Lead at the Speed of Light

Search

SC-59282301

 
 

Screening Compound prices listed on this site are Hit2Lead promotional prices, which apply only to orders placed through Hit2Lead.com. If the order is e-mailed or faxed to ChemBridge, regular prices will apply. Please contact us at support@chembridge.com for our regular pricing.

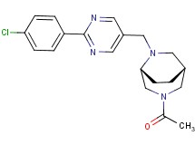
1. # 59282301

(1R*,5R*)-3-acetyl-6-{[2-(4-chlorophenyl)-5-pyrimidinyl]methyl}-3,6-diazabicyclo[3.2.2]nonane

(1R*,5R*)-3-acetyl-6-{[2-(4-chlorophenyl)-5-pyrimidinyl]methyl}-3,6-diazabicyclo[3.2.2]nonane Show me analogs: 2D | 3D | 2D&3D
Formula
C20 H23 Cl N4 O
Molecular Weight
371
LogP
2.77
LogSW
-4.27
Rotatable Bonds
3
Hdon
0
Hacc
4
tPSA
49.3
Salt Form
FREE
Form
Dry Film
Stereochemistry
racemic
Price group
5

Rush delivery (more information)