Baskets | Registration | Log in | Contact us

Hit2Lead

From Hit to Lead at the Speed of Light

Search

SC-42632512

 
 

Screening Compound prices listed on this site are Hit2Lead promotional prices, which apply only to orders placed through Hit2Lead.com. If the order is e-mailed or faxed to ChemBridge, regular prices will apply. Please contact us at support@chembridge.com for our regular pricing.

1. # 42632512

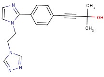
2-methyl-4-(4-{1-[2-(4H-1,2,4-triazol-4-yl)ethyl]-1H-imidazol-2-yl}phenyl)but-3-yn-2-ol

2-methyl-4-(4-{1-[2-(4H-1,2,4-triazol-4-yl)ethyl]-1H-imidazol-2-yl}phenyl)but-3-yn-2-ol Show me analogs: 2D | 3D | 2D&3D
Formula
C18 H19 N5 O
Molecular Weight
321
LogP
1.53
LogSW
-2.85
Rotatable Bonds
6
Hdon
1
Hacc
4
tPSA
68.8
Salt Form
FREE
Form
Dry Film
Stereochemistry
achiral
Price group
4
Amount Qty.
1 mg
Request in larger amounts

Rush delivery (more information)