Baskets | Registration | Log in | Contact us

Hit2Lead

From Hit to Lead at the Speed of Light

Search

SC-34842777

 
 

Screening Compound prices listed on this site are Hit2Lead promotional prices, which apply only to orders placed through Hit2Lead.com. If the order is e-mailed or faxed to ChemBridge, regular prices will apply. Please contact us at support@chembridge.com for our regular pricing.

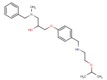
1. # 34842777

1-[benzyl(methyl)amino]-3-(4-{[(2-isopropoxyethyl)amino]methyl}phenoxy)-2-propanol

1-[benzyl(methyl)amino]-3-(4-{[(2-isopropoxyethyl)amino]methyl}phenoxy)-2-propanol Show me analogs: 2D | 3D | 2D&3D
Formula
C23 H34 N2 O3
Molecular Weight
387
LogP
3.43
LogSW
-2.82
Rotatable Bonds
12
Hdon
2
Hacc
5
tPSA
54.0
Salt Form
FREE
Form
Dry Film
Stereochemistry
racemic
Price group
4
Amount Qty.
1 mg
5 µmol
5 mg Rush*
Request in larger amounts

Rush delivery (more information)