Baskets | Registration | Log in | Contact us

Hit2Lead

From Hit to Lead at the Speed of Light

Search

BB-4090087

 
 

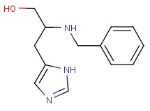
1. # 4090087

2-(benzylamino)-3-(1H-imidazol-5-yl)propan-1-ol

2-(benzylamino)-3-(1H-imidazol-5-yl)propan-1-ol
Formula
C13 H17 N3 O
Molecular Weight
231
LogP
0.39
Rotatable Bonds
6
Purity
95%
Salt Form
FREE
MFCD number
MFCD20503017
CAS
339207-77-1
Stereochemistry
RACEMIC

 

Close window

Replacement Product(s)

# 6963959

2-(benzylamino)-3-(1H-imidazol-5-yl)-1-propanol hydrochloride

2-(benzylamino)-3-(1H-imidazol-5-yl)-1-propanol hydrochloride Salt Form of # 4090087
Formula
C13 H17 N3 O . Cl H
Molecular Weight
268
LogP
0.39
Rotatable Bonds
6
Purity
95%
Salt Form
HCl
MFCD number
MFCD03707734
CAS
474263-67-7
Form
Solid
Stereochemistry
RACEMIC
Price group
1
.
SDS
Amount Price Qty.
250 mg $48
Request in larger amounts

 

Rush delivery (more information)