Baskets | Registration | Log in | Contact us

Hit2Lead

From Hit to Lead at the Speed of Light

Search

BB-4088185

 
 

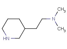
1. # 4088185

N,N-dimethyl-2-(3-piperidinyl)ethanamine

N,N-dimethyl-2-(3-piperidinyl)ethanamine
Formula
C9 H20 N2
Molecular Weight
156
LogP
0.78
Rotatable Bonds
3
Purity
95%
Salt Form
FREE
MFCD number
MFCD12827530
CAS
933684-70-9
Stereochemistry
RACEMIC

 

Close window

Replacement Product(s)

# 4102790

N,N-dimethyl-2-(3-piperidinyl)ethanamine dihydrochloride

N,N-dimethyl-2-(3-piperidinyl)ethanamine dihydrochloride Salt Form of # 4088185
Formula
C9 H20 N2 . 2 Cl H
Molecular Weight
229
LogP
0.78
Rotatable Bonds
3
Purity
95%
Salt Form
2HCl
MFCD number
MFCD13561633
CAS
1219960-73-2
Form
Solid
Stereochemistry
RACEMIC
Price group
3
.
SDS
Amount Price Qty.
200 µmol $69 Rush*
250 mg $92
1 g $154 Rush*
1 g $154 Rush*
1 g $154
5 g $616 Rush*
5 g $616
10 g $1,001
$801
Request in larger amounts

 

Rush delivery (more information)