Baskets | Registration | Log in | Contact us

Hit2Lead

From Hit to Lead at the Speed of Light

Search

BB-4031542

 
 

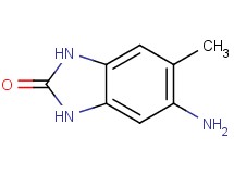
1. # 4031542

5-amino-6-methyl-1,3-dihydro-2H-benzimidazol-2-one

5-amino-6-methyl-1,3-dihydro-2H-benzimidazol-2-one
Formula
C8 H9 N3 O
Molecular Weight
163
LogP
0.35
Rotatable Bonds
0
Purity
95%
Salt Form
FREE
MFCD number
MFCD02684428
CAS
67014-36-2
Form
Solid
Stereochemistry
ACHIRAL
DG
UN3077 9 III
Price group
2
.
SDS
Amount Price Qty.
1 g $108 Rush*
Request in larger amounts

Rush delivery (more information)