Baskets | Registration | Log in | Contact us

Hit2Lead

From Hit to Lead at the Speed of Light

Search

BB-4003583

 
 

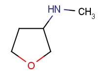
1. # 4003583

N-methyltetrahydrofuran-3-amine

N-methyltetrahydrofuran-3-amine
Formula
C5 H11 N O
Molecular Weight
101
LogP
-0.42
Rotatable Bonds
1
Purity
95%
Salt Form
FREE
MFCD number
MFCD07786690
CAS
89487-67-2
Form
Liquid
Stereochemistry
RACEMIC
Price group
6
.
SDS
Amount Price Qty.
250 mg $187
Request in larger amounts

Rush delivery (more information)